第2章 软件工程经济学基础
软件工程经济分析的基本要素
软件工程经济分析的基本要素主要有:投资、筹资和融资、成本和费用、销售收入与利润、主要税金等。
投资的基本概念及其构成
- 投资是指国家、企业或者个人,为了实现特定的目的,与对方签订协议,实现互惠互利,输送资金的过程或者相关经济活动。
- 广义的投资:指人们为了获取将来的报酬,事先投入一定资源的经济行为。
- 狭义的投资:指人们在社会生产活动中为了实现某项预定的生产而预先垫付的资金。
投资活动主要分为生产性投资和非生产性投资
-
生产性投资主要是为了实现对内扩大再生产来奠定基础的,如购置固定资产、无形资产和其他长期资产支付的现金。
-
非生产性投资主要是为了实现对外扩张,如对外购买股权、债权、股票等经济活动。
-
固定资产是指企业为了生产产品、提供劳务、出租或经营管理而持有的,其使用周期超过一年,且价值达到一定标准的非货币资产。固定资产投资主要用于扩大再生产、技术设备更新。
-
流动资产是指企业可在一年或者超过一年的一个营业周期内变现或使用的资产。流动资产投资主要用于保证企业正常的生产经营。
-
无形资产是指企业拥有或者控制的没有实物形态的资产。无形资产主要包括商标权、专利权、软件著作权、商誉、长期股权投资以及土地使用权等。
-
其它资产是指不能包括在固定资产、流动资产和无形资产等项目之内的资产。
筹资与融资

1. 筹资
权益资金主要分为企业融资项目资本金和项目融资项目资本金。其中企业融资项目资本金主要来自于企业的自有资金,主要有:
- 企业现有资金
- 企业未来生产经营活动中获得的可用于软件项目建设的资金
- 企业资产变现资金
- 企业增资扩股资金
负债资金:是指软件工程项目筹资过程中除去资本金外,以负债的方式所筹集的资金。
- 银行贷款
- 出口信贷
- 外国政府贷款
- 国际金融机构贷款
- 发行债券
- 融资租赁
2. 融资
- 传统融资是指一个企业运用各种方式向金融机构筹集资金的一种业务活动,包括取得发行股票、银行贷款、发行债券等。而相对于传统融资来说,项目融资是一种新型融资方式。
- 项目融得的资金是一种仅有有限追索权或无限追索权的贷款,且需要的资金量较大,因而其风险也较大。项目融资分为无追索权和有限追索权融资两类。
软件工程项目的融资从投资决策到最后完成融资通常要经过5个阶段

新型项目融资模式
- BOT融资模式(Build-Operate-Transfer,即“建设-经验-转让”模式)
- PPP融资模式(Public Private Partnership,即公共部门与私人企业合
- 作模式)
- ABS融资模式(Asset-Backed Securitization,即资产证券化融资模式)
- TOT融资模式(Transfer-Operate-Transfer即“移交-经营-移交”模式)
- VC模式(Value Capture,价值捕捉模式,价值捕捉就是将由于商业活
- 动的增加所带来的企业获利的一部分转换为公共使用)
(1)资金成本
资金成本是指企业在筹集资金的时候所支付的一定代价,主要包括资金的使用费与筹资费。资金的使用费是指因使用资金而向资金提供者所支付的报酬,如使用发行股票所筹集的资金需要向其股东支付红利、使用租入的资产需要向出租人支付租金等。筹资费是指在企业筹集资金的过程中发生的各项费用,如向银行借款所支付的手续费、委托金融机构发行股票所支付的代理费和注册费等。
由于不同项目所筹集的资金数额不一样,为了方便比较,资金成本通常以相对数来表示,即资金的成本数

式中K指资金成本率;D指使用费;P指筹集资金的总额; F指筹资费;f指筹资费费率(筹资费和筹资总额的比率)
资金成本在软件企业生产经营活动中用途:
资金成本是选择资金来源、设计筹资方案的主要依据。筹资决策主要是通过
优选各种筹资方式,在满足企业的资金需求前提下的资金成本力求最低。
资金成本是评价软件工程项目投资可行性的主要经济依据。只有资金利润率
高于资金成本率的项目才值得筹资。
资金成本可以作为评价软件企业财务经营成果的依据之一。
(2)自有资金的资金成本计算
①普通股资金成本
普通股持有者拥有企业的普通股权,企业的资产以及经营收益扣除负债与优先股之后,归普通股股权所有,企业的权益归普通股股东所有。
式中,? 指普通股资金成本;?_0 指社会无风险投资收益率;?_? 指社会平均投资收益率;β指行业的资本投资风险系数。
②优先股资金成本
优先股类似于负债融资,资金成本按照优先股股息对发行优先股所取得的资金之比进行计算,如公式2.3所示。
【例2.1】 某IT企业优先股面值50元,发行价格为55元,发行成本4%,每年付息一次,固定股息为6%,试求此优先股的资金成本。

课堂练习:某软件企业优先股面值40元,发行价格为50元,发行成本5%,每年付息一次,固定股息为5元,试求此优先股的资金成本。

③保留利润的资本本金
保留利润又称为利润留存,是指企业从税后利润总额中扣除股利后的剩余部分,所有权是企业投资者。这些未分配保留利润的最低成本是股票本身的资金成本(is),也可采用普通股资金成本的方法进行确定。
④综合资金成本
当一个企业的不同资金来源的资金成本计算出来后,如果把某一时期内的全部投资视为一个整体的话,就应在分别计算得到各类资金的资金成本的基础上,用加权平均法计算出综合资金成本值,如公式2.4所示。式中,?_? 是指加权平均资金成本;?_? 指第 ? 种融资的资金成本;fk指第 ? 种融资所占的资金权重,∑?_? =?。
【例2.2】某IT企业的某信息化项目总融资金额为6000万元人民币,其中银行贷款3000万元,利率为8%,每年计息两次;发行优先股2000万元,股息9%,发行成本为3%,平价发行,每年付息一次;发行普通股1000万元,据调查其长期国债利率(社会无风险投资收益)为6%,社会平均收益14%,投资风险系数为1.3。请计算该IT项目的基准收益率(企业的所得税按25%进行计算)。

项目可行性研究
-
可行性研究概述
可行性研究(Feasibility Study)是指在项目投资之前,在深入调查研究的基础上,通过市场分析、财务分析、技术分析以及国民经济分析,对拟建项目的必要性、合理性和可行性进行技术经济论证的综合学科。
项目可行性研究的基本任务是:在技术上的先进性、实用性和可靠性,在经济上的合理性和有利性,该项目的建设可能性,项目的风险性及其社会效益等,对投资方案全方位进行论证,为投资者提供科学的依据。
可行性研究报告必须回答的问题有:
①项目的必要性是什么?
②项目所需的资源,如财力、物力、技术等是否有保证?
③项目产品的市场容量和市场占有率是多少?
④项目的规模适合多大?
⑤项目的资金筹集渠道是否畅通?
-
可行性研究的阶段
可行性研究的基本流程可以概况为:签订委托协议,组建工作小组,制定工作方案,市场调查与预测,可行性方案研制与优化,项目评价和编写可行性研究报告。
-
可行性研究的工作流程
-
可行性研究报告
(1) 可行性研究报告的作用:
- 作为经济主体投资决策的主要依据
- 作为筹资和向银行申请贷款的依据
- 作为从国外引进技术、设备以及与国外厂商谈判签约的依据
- 作为与项目协作单位(如项目分包)签订经济合同的依据
- 作为向当地政府、相关部门申请有关建设许可文件的依据
- 作为该项目基础设施建设的基础资料
- 作为项目有关生产组织工作、职工培训等的依据
- 作为对项目考核以及项目后评价的依据
(2)项目可行性研究报告的编制要求:
- 要能充分反映项目可行性研究工作的成果,要求内容齐全,数据准确,结论明确,以满足决策者确定方案和项目决策的要求。
- 信息资料必须满足时效性、可靠性以及充足性的要求。
- 项目中选用的主要设备的规格、各项参数必须满足预定设备的要求。
- 可行性研究报告里的重大技术或者经济方案必须要有两个以上的方案进行优选。
- 报告里确定的主要工程技术数据,必须满足项目初步设计的要求。
项目可行性研究报告的编制要求:
- 对建设性投资与生产成本必须进行分项详细的估算,其误差控制在±??%以内。
- 报告中所构造的融资筹资方案,必须满足金融部门信贷决策的要求。
- 报告中要如实反映可行性研究过程中出现的某些方案的重大分歧或者未被采纳的原因,以便供投资者客观权衡利弊进行决策。
- 报告中应该附有评估、决策所必需的合同、意向书、协议以及政府批文等相关佐证材料。
项目可行性研究报告的主要内容
项目可行性分析报告的内容主要包括三大部分:
-
第一部分是市场研究,包括产品市场调查与预测研究,是项目可行性研究的前提和基础,主要解决项目建设的“必要性”问题;
-
第二部分是相关技术研究,主要解决项目的技术“可行性”问题
-
第三部分是效益研究,即项目的经济效益分析与评价,是可行性分析的核心部分,主要解决项目经济“合理性”问题。
这三大部分共同构成了整个项目可行性的三大支柱。
5.市场调查
市场调查的内容全面涵盖了市场营销活动的全部过程,从识别市场机会、选择目标市场、制定营销策略到评价营销效果,都将成为市场调查的对象,市场调查的内容如图2.4所示。 。

① 文案调查法:
文案调查法是指通过搜集各种历史以及现实的动态材料,从中摘取与调查有关的信息,在办公室内进行的调查方法。文案调查法又称为二手数据调查法、文献调查法、间接调查法、室内研究法等。
文案调查法要求调查人员具备较为丰富的专业知识以及分析能力。
①文案调查法的优点
文案调查法可以发现问题并为相关市场研究提供重要参考依据,其主要功能有:
文献调查法的工作程序是:首先收集文献资料(对文献资料的查阅、查阅和记录),其次是检查审定文献资料,最后是整理文献资料。
② 访问调查法
访问调查法又称为采访法、询问法,是最常用的一种第一手资料收集方法。是调查机关派出调查人员通过口头、书面或电信等方式,向被调查者了解情况,取得相关资料的一种调查方法。
③ 观察调查法
观察调查法是指调查人员在不告知被调查人员的前提下,通过在被调查人员旁边观察并记录收集资料的一种调查方法。
③ 观察调查法的实施步骤
④实验调查法
实验调查法是指从影响调查问题的诸多因素中选出一、两个因素,将其置于一定条件下来进行小规模的实验,然后对实验结果做出对比分析,研究所调研的项目是否值得大规模推广的调查方法。
⑤ 网络调查法
网络调查法又称为联机市场调查,是指通过网络进行有系统、有组织、有计划的收集、调查、记录、整理和分析有关产品、劳务、广告以及市场等信息,客观的测定及评价、发现各种现象与事实、用以解决企业经营的相关问题,并可作为管理者进行相关决策的依据。
网络调查法的步骤
(2)市场预测方法
市场预测是指在市场调查的基础上,通过分析和研究,运用科学的方法和预测技术,对市场未来商品的的供求趋势、影响因素以及变化规律进行分析的过程。
① 消费者意图预测法
消费者意图预测法是指由预测者凭借自己的经验,在收集并充分掌握来自于消费者的各种信息后,对未来某个阶段的消费者意图作出估计和推测。
② 专家意见集合法
头脑风暴法(Brain Storming),又称BS法、智力激励法。它是由美国创造学家A.F.奥斯本于1939年首次提出的一种激发创造性思维的方法。头脑风暴法是一种通过小型会议的组织形式,让所有参加者在自由愉快、畅所欲言的气氛中,自由交换想法或点子,并以此激发与会者的创意和灵感,使各种设想在相互碰撞中激起脑海的创造性“风暴”。
【案例1】有一年,美国的北方格外严寒,大雪纷飞,电线上积满了冰雪,一部分大跨度的电线被积雪压断,严重影响通信。往年许多人试图解决这一问题都未能如愿。后来,电信公司某经理运用奥斯本发明的头脑风暴法,尝试解决这一清理积雪的难题。他召开了一种能让头脑卷起风暴的座谈会,参加会议的是不同专业的技术人员。
③ 德尔菲法
德尔菲法(Delphi Method),是20世纪40年代O.郝尔姆和N.达尔克首创,经T.J.戈尔登和兰德公司进一步发展而成。德尔菲法又称为专家意见法或专家调查法,是以匿名方式,轮番征询专家意见,再回收并汇总所有专家的意见,最终整理得出综合预测结果的一种预测方法。
德尔菲法的市场预测步骤
④ 经济计量模型预测法
经济计量模型预测法是指利用经济变量之间的相互依存关系,通过经济分析,找出其相互间的因果联系,建立经济计量模型来描述经济关系,并运用模型进行预测分析。经济计量模型是通过经济变量来描述和解释经济关系的。经济计量模型是实现经济市场环境因素分析的方法与途径。
某商品供求计量模型如公式2.5所示。
经济计量模型案例
- 根据他们在模型中的作用分为以下四种类型:
- 内生变量:由所研究的系统内部确定的变量,又称为被解释变量,如D、S 。
- 外生变量:由所研究的系统外部确定的变量,又称为解释变量,如P、W、I。
- 前定变量:是可以预先确定的变量,如Pt、 Wt、 It。
- 虚拟变量:又称为假变量,是一种用来表示定性项目的变量。
成本和费用、收入和利润、主要税金
成本是指为了达到一定的目的或者进行生产经营活动时,购置各种生产资料或者采购商品所支付的价款以及费用,即采购成本或者购置成本。随着企业生产活动的不断进行,这些成本就转化为生产成本与销售成本。
总成本费用是指软件工程项目在一定时期内,为生产以及销售产品而花费的全部成本及其费用。
生产成本
生产成本即生产费用或者制造成本,是指企业为了生产产品或者提供劳务所发生的各种资源耗费。
生产成本要素按照经济用途可分为:
1.直接材料耗费
2.直接工资费
3.间接成本
4.直接支出
经营成本是软件工程经济学分析需要从总成本费用中分离出来的一部分费用,是指IT企业在一定会计期间内由于生产、销售以及提供劳务所发生的现金支出。
经营成本=总成本费用-更新改造资金(又称为维简费)-折旧费-摊销费-利息支出
期间费用是指企业本期所发生的,与生产经营活动没有直接关系或者关系不密切的管理费用、销售费用、财务费用和研发费用。
- 管理费用是指企业的行政部门为了组织与管理企业的生产经营活动所发生的各项费用
- 销售费用是指企业在销售产品或者提供劳务等经营过程中所发生的各项费用
- 财务费用是指企业为筹集生产经营所需资金而发生的各项费用
- 研发费用是指研究与开发某项目所支付的项目
- 销售收入和利润
-
销售收入=商品销售量×商品的单价
-
营业外收入是指和企业的生产经营活动没有直接关系的各种收入。
-
利润=销售收入−总成本费用−销售税金及附加
-
净利润又称为税后利润,是指在利润总额中缴纳了所得税后企业的利润留存
- 主要税金
根据纳税对象的不同,税收可分为所得税、资源税、流转税、农业税、财产行为税与关税。在项目的投资与建设过程中,缴纳的主要税收包括营业税、所得税、城市维护建设税以及教育费附加。针对企业其占有的财产与行为,缴纳的税收还有房产税、契税、土地使用税以及土地增值税等。
软件企业需要缴纳税种主要有:增值税、企业所得税、房产税、印花税、车船税、教育费附加、城市维护建设税,以及需要代扣代缴个人所得税。
软件企业增值税:一般纳税人销售企业自行开发、生产的软件产品,按17%的税率征收增值税后,对其增值税实际税负超过3%的部分实行即征即退政策。
① 软件产品增值税即征即退税额的计算方法:
即征即退税额=当期软件产品增值税应缴纳税额−当期软件产品销售额×?%
当期软件产品增值税应缴纳税额=当期软件产品税额−当期软件产品可抵扣进项税额
当期软件产品销项税额=当期软件产品销售额×??%
② 嵌入式软件产品增值税即征即退税额的计算方法:
即征即退税额=当期嵌入式软件产品增值税应缴纳税额−当期嵌入式软件产品销售额×?%
当期嵌入式软件产品增值税应缴纳税额=当期嵌入式软件产品销项税额-当期嵌入式软件产品可抵扣进项税额
当期嵌入式软件产品销项税额=当期嵌入式软件产品销售额×??%
当期嵌入式软件产品销售额=当期嵌入式软件产品与计算机硬件、机器设备销售额合计额−当期计算机硬件、机器设备销售额
所得税是指国家对法人、自然人与其他经济组织在一定时期内的各种所得征收的一种税收。所得税包括企业所得税与个人所得税。企业所得税按25%的税率缴纳;对于非居民企业取得的应税所得税按20%的税率缴纳;符合条件的小型微利企业,减除20%的税率征收企业所得税;国家需要重点扶持的高新技术企业可减除15%的税率征收企业所得税;以下情况可免征或减征企业所得税:①从事农、林、牧、渔业项目的所得;②从事国家重点扶持的公共基础设施项目投资所得;③从事符合条件的环境保护、节能项目所得;④符合条件的技术转让所得。
房产税:凡是属于征税范围内的房屋产权所有人都需要交纳房产税,包括国家所有和集体、个人所有房屋的产权所有人、承典人或者使用人。
计税的税率有以下两种:①从价计征,其计税依据是房产原值一次减去10%~30%的扣除比例后的余值,税率为1.2%;②从租计征,其计税依据是房产的租金收入,税率为12%,关于个人房产,按市场价格出租的居民住房则按4%的税率征收房产税。
【例2.3】某IT企业2019年年初的房产原值为4000万元,6月1日将其中原值为1500万元的闹市房出租给某企业商用,月租金为6万元。当地政府规定计税方式为按房产原值减去25%的余值。请确定该IT企业当年应缴纳的房产税额。
资金的时间价值及其贴现与预算
资金的时间价值
【案例导入】 在古时候,有一个农夫在开春的时候没有种子,于是他向邻居借了一斗稻谷种子,到了秋天收获时,他给邻居还了一斗一升的稻谷。为什么这个农民要多还稻谷给他的邻居呢?
随着时间的推移,企业的资金会随着不同的投入方式,产生不同的资金新值,而与资金原值相比较增加或者减少的部分则为资金的时间价值
图2-7 资金的时间价值示意图
图2-8 资金增值过程示意图
从投资者的角度来看,资金的时间价值是资金具有增值的特性;而从消费者的角度来看,资金的时间价值是放弃对现时消费所造成损失所做的补偿,因为资金用于投资后则不能再用于现时消费。
【例2.5】 某IT企业有两个信息系统项目的投资方案需要其管理人员决策,两个方案的寿命期均为2年,初始投资额均为100万元(人民币),两个方案每年的收益不同,但收益总额却是相同的,详见表2.3。如果两个信息系统项目的其他条件都一样,应该如何选择?
表2-3 信息系统投资方案现金流量表
解:根据两个项目投资方案的现金流量表可知方案A在第一年获取的收益小于B方案,而其第二年的收益大于B方案,如果考虑到两个信息系统项目所获得的收益都可以再投资,且投资的年收益率假设都为8%,则在考虑了资金的时间价值的情况下,两个方案的收益如下:
A方案的总收益=40(1+8%)+80=123.2
B方案的总收益=80(1+8%)+40=126.4
从以上计算结果可知,B方案的收益明显高于A方案,故选择B方案。
影响资金时间价值的因素较多,从投资者的角度来看主要有:
衡量资金时间价值的方式:
一种是绝对衡量尺度,即利息、盈利或者收益;一种是相对衡量尺度,即利率、盈利率或者收益率
- 利息
利息是衡量资金时间价值的绝对衡量尺度。
利息是既包括存款所得到的报酬或者贷款所付出的代价,也包括投资所产生的净收益或利润。
- 利率
利率是衡量资金时间价值的相对衡量尺度,又称为利息率。
利率是指一个计算单位时期内所得到的利息额与借贷金额(本金)的比值,主要反映了资金随时间变化的增值率,利率一般用 i 表示。
【例2.6】 某IT企业利用闲置资金购买了一年期的国债200000元,一年后该国债到期时的本利和是231120元,求其年利率。
【课堂练习】 某IT企业利用闲置资金购买了一年期的国债300000元,一年后该国债到期时的本利和是331420元,求其年利率。
- 单利
【例2.7】 某软件企业借入人民币200000元,年利率为7%,计划第三年末偿还,计算每年的利息与本利和。
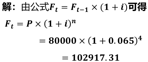
【课堂练习】 某IT企业借入人民币80000元,年利率为6.5%,计划第四年末偿还,计算第4年的本利和。
- 复利
【例2.8】 某软件企业借入人民币200000元,年利率为7%,计划第三年末偿还,请用复利计算每年的利息与本利和,。
【课堂练习】 某IT企业借入人民币80000元,年利率为6.5%,计划第4年末偿还,试用复利的方式计算第4年末的本利和。
现金流量的内涵
1. 现金流量的概念
- 现金流量(Cash Flows)是指特定经济系统(某个项目、企业、地区或部门)在某一时点发生了所有权或使用权转移的现金或和其等价物(如银行承兑汇票、短期国库券、可转让定期存单等)的数量。
- 现金流入(CI,Cash Inflows)是指流入该系统的现金。
- 现金流出(CO,Cash Outflows)是指流出该系统的现金。
- 同一时点上的现金流入和流出之差称为净现金流量,通常用CI-CO表示。
2. 现金流量的分类
3. 软件企业确定现金流量的注意事项
- 现金流量图
现金流量图(Cash-Flows Diagrams)是指在时间坐标轴上,用带箭头的短线表示一个建设项目或者一个企业资金活动规律的图形。
现金流量图一般用一个箭头指向右侧的时间轴以及垂直于时间轴的垂直箭线表示不同时间点的现金流入或者流出的状况,如图2-9所示:
现金流量图的绘制方法:
①以横轴作为时间轴,向右指向的箭线表示时间的延续,时间轴上每一个刻度表示一个时间单位,时间单位通常取年,也可以取半年、季度或月等。0表示时间序列的起点,也可以理解为第1年初,n表示时间序列的终点。
②垂直于时间轴的箭线表示不同时间点的现金流量的大小与方向。一般规定在时间轴上方的箭线表示现金流入,而在时间轴下方的箭线表示现金流出。有时部分企业为了解决问题的方便也会在箭线的方向表示意义上作相反的规定。
- 现金流量的作用
- 能对IT企业获取现金的能力作出评价
- 能对IT项目收益的质量及投资、筹资活动作出评价
- 能对IT企业的偿债能力作出评价
资金的等值计算及其应用
1. 资金等值
资金具有时间价值。资金等值是指在考虑了资金的时间价值后,不同时间点上数额不等的资金在一定利率的条件下具有相同的价值。
在软件工程项目中,资金的等值计算所涉及的几个概念
贴现又称为折现,是指把将来某个时点的资金金额换算成现在时点的等值金额
贴现率是指贴现时所使用的利率(i),又称为折现率
现值P(Present Value):是指资金贴现到现在时刻的价值。现值是一个相对的概念,如将t+n个时点上所发生的资金折现到第t个时点,所得的等值金额则就是t+n个时点上的资金额在t时点的现值
终值F(Future Value):又称为将来值或未来值,是指计息期期末的资金价值,或者表示现在某个时点在未来某个时点的资金价值
年金A(Annual Value),又称为年值或等额年值,是指每期都发生的等额现金流的金额。年金又分为普通年金、预付年金以及延期年金三种。普通年金又称为后付年金,是指每期期末收、付款的现金流量序列,是最常用的年金形式;预付年金是指每期期初收、付款的现金流量序列;而延期年金是指距今若干期以后所发生的每期期末收、付款的现金流量序列。
2. 资金的等值计算
(1) 一次性支付复利终值公式(已知P,求F):
假设某软件企业有一笔资金P,如果按年利率 i 计算,则n年后的本利和F可根据复利的概念来求得,其计算过程详见表2.6所示。
【例2.9】某软件企业向银行贷款100万元,按年利率为8%进行复利计息,试求该企业第4年末连本带利一次偿还银行的金额,并画出其现金流量图。
(2) 一次性支付复利现值公式(已知F ,求P )
【例2.10】某软件企业希望通过某信息化项目投资在第4年末得到200万元的资金,若按年利率为8%进行复利计息,试问该企业现需要一次性投入多少资金?
在软件工程项目的多方案比较与评价时,通常选择现在的时点作为现值,把方案所预计的不同时点的现金流量折算为现值,并按照现值的代数和来做方案的决策
(3)等额支付终值公式(又称为年金终值公式,已知A,求F)
对于某个IT项目相应的经济系统,在其每个计息周期的期末(不含第0期)都支付相同数额的A,在年利率为 ? 时,求该系统n年后的终值,即为等额支付终值的计算问题,其现金流量图如图2.12所示。
【例2.11】某IT企业在6年内,每年年末存入银行200万元,按年利率均为6%的复利计算,在第6年末该企业可以连本带利取出多少资金?
解法1
解法2
(4)等额支付偿债基金公式(已知F,求A)
偿债基金的计算是等额支付终值计算的逆运算,当年利率为 ? ,求n年年末的资金F换算为与其等值的n年中每年年末的等额资金(A),即为偿债基金的计算问题,其现金流量图如图2.13所示。
【例2.12】某ERP企业计划自筹资金在6年后获得500万元资金进行某新技术开发,依据市场行情,银行利率为6%,则从今年开始每年年末应筹集多少资金存入银行?
(5)等额支付现值公式(又称为年金现值公式,已知A,求P)
【例2.13】假设某IT企业期望在8年时间内的每年年末能从银行取回200万元,如果按6%的复利计息,则该企业现在需要存入银行多少资金?
(6)等额支付资金回收公式(已知P,求A)
【例2.14】某IT企业向银行贷款3500万元投入某项目建设,按年利率为8%的复利计算,若在6年内每年年末按等额还款的方式,则每年年末应还款的资金是多少?
资金等值计算的注意事项
- 项目实施方案的初期投资发生在方案寿命期的期初
- 项目方案实施中的经常性收入、支出,发生在计息期的期末
- 现值P和终值F永远相差n个计息期
- 已知A求F,所求的F发生在最后一个A的同一个时点上
- 已知A求P,所求的P发生在第一个A 的前一个时点上。
【例2.15】某IT企业计划投资某信息系统项目,该项目在前3年初分别投资180万元、160万元和150万元;预计第3年至第8年获得收益,其中每年的营业收入为300万元,经营成本预计为90万元。投资者希望能通过投资该项目能达到25%的毛利率(即不考虑税收),试问该企业如何决策是否投资该信息系统项目?
招标与投标
软件工程类项目的经费来源
① 国家、省级自然基金,国家信息化工程及国防科研基金项目
② 企业自行筹资项目
③ 经过投标竞争获取的企业或政府部门招标项目
招标、投标概述
依据《中华人民共和国招标投标法》、《中华人民共和国招标投标法实施条例》、《国家发展计划委工程建设项目招标范围和规模标准规定》(国家发展计划委令第3号)以及《国家发展改革委必须招标的工程项目规定》(国家发展改革委令第16号)相关要求,下列工程建设项目的勘察、设计、施工、监理以及建设有关的重要设备、材料等的采购,必须进行招标:
- 大型基础设施、公用事业等关系社会公共利益、公众安全的项目
- 全部或部分使用国有资金投资或者国家融资的项目
- 使用国际组织或者外国政府贷款、援助资金的项目
招标人及其权利和义务
招标人是依照《中华人民共和国招标投标法》规定提出招标项目、进行招标的法人或者其他组织。
招标人应当有进行招标项目的相应资金或者资金来源已经落实,并应当在招标文件中如实载明。
1. 招标人的权利
- 可自行办理招标事宜,也可以自行选择招标代理机构,委托其办理招标事宜
- 可根据招标项目本身的要求,对潜在投标人进行资格审查
- 可对已发出的资格预审文件或者招标文件进行必要的澄清或者修改
- 有权拒收在招标文件要求提交的截止时间后送达的投标文件
2. 招标人的义务
Ø委托招标代理机构时,应向其提供招标所需的全部相关资料并支付委托费;
Ø不得以不合理条件限制或者排斥潜在招标人,不得对潜在投标人实行歧视待遇;
Ø招标文件不得要求或者标明特定的生产供应者,以及含有倾向或者排斥潜在投标人的内容;
Ø不得向他人透露已获取招标文件的潜在投标人的名称、数量,以及可能影响公平竞争的有关招标投标的其他情况;
Ø应当明确投标人编制投标文件所需要的合理时间,最短不得少于20日;
Ø在招标文件要求提交投标文件的截止时间前收到的所有投标文件,开标时都应当众拆封与宣读;
Ø应当采取必要的措施,保证评标在严格保密的情况下进行;
Ø在确定中标人后,应当向中标人发出中标通知书,并同时将中标结果通知所有未中标的投标人;
Ø招标人与中标人应当自中标通知书发出之日起30日内,按照招标文件和中标的投标文件签订书面合同。
招标代理机构及其权利和义务
招标代理机构是依法设立、从事招标代理业务并提供相关服务的社会中介组织,与行政机关和其他国家机关不得存在隶属关系或者其他利益关系。
应当具备从事招标代理业务的营业场所与相应资金,必须要有能够编制招标文件以及组织评标的相应专业力量。
1. 招标代理机构的权利
- 组织和参与招标活动
- 依据招标文件规定,审查投标人的资质
- 按规定标准收取招标代理费
2. 招标代理机构的义务
维护招标人和投标人的合法利益
组织编制和解释招标文件
接受国家招、投标管理机构与有关行业组织的指导、监督
应当在招标人委托的招标范围内办理招标事宜,并遵守《中华人民共和国招标投标法》关于招标人的规定
招、投标的基本特性与基本原则
1. 招标、投标工作的基本特性
- 招、投标的公平竞争
- 招、投标的交易规范
- 招、投标的一次机会
- 招、投标的定制方案特性
- 复合职业特性
2. 招、投标工作的基本原则
- 公平原则
- 公开原则
- 公正原则
- 诚实信用原则
招标方式
公开招标
是指招标人以招标公告的方式邀请不特定的法人或者其他组织投标
邀请招标
是指招标人以投标邀请书的方式邀请特定的法人或者其他组织投标
国有资金占控股或者主导地位的依法必须进行招标的项目,应当公开招标
有下列情况之一的,可以邀请招标:
Ø技术复杂、有特殊要求或者受自然环境限制,只有少量潜在投标人可供选择;
Ø采用公开招标方式的费用占项目合同金额的比例过大。
公开招标
招标人采用公开招标方式的,应当发布招标公告。依法进行招标项目的招标公告,应当通过国家指定的报刊、信息网络或者其他媒介发布。招标公告应当载明招标人的名称和地址、招标项目的性质、数量、实施地点和时间以及获取招标文件的办法等相关事项。
邀请招标
招标人采用邀请招标方式的,应当向三个及以上具备承担所招标项目的能力、资信良好的特定的法人或者其他组织发出投标邀请书。投标邀请书应当载明的事项必须与公开招标公告规定的事项要求完全一致。
投标
投标人是响应招标、参加投标竞争的法人或者其他组织,依法招标的科研项目也可允许个人参与投标。
与招标人存在利害关系,如可能影响招标公正性的法人、其他组织或者个人,不得参与投标。
Ø投标人应当按照招标文件的要求编制投标文件。投标文件应当对招标文件提出的实质性要求与条件做出实质性响应。
Ø投标人应当在招标文件要求提交投标文件的截止时间前,将投标文件送达招标文件指定的投标地点。
Ø投标人可以在招标文件要求的提交投标文件截止时间前,补充、修改或撤回已提交的投标文件,并书面通知招标人。
Ø投标人根据招标文件载明的项目实际情况,拟在中标后将中标项目的部分非主体、非关键性工作进行分包的,应当在投标文件中载明。
开标、评标和中标
1. 开标
开标原则上应当在招标文件规定的提交投标文件截止时间的同一时间公开进行;开标地点必须是招标文件中预先规定的地点。
开标由招标人主持,邀请所有投标人参加。
2. 评标
评标工作由招标人依法组建的评标委员会负责。依法必须进行招标的软件工程项目,其评标委员会由招标人的代表以及相关技术、经济等方面的专家组成,成员人数为五人以上单数,其中技术、经济等方面的专家不得少于评标成员总人数的三分之二。
中标人的投标应当符合下列条件之一:
Ø能够最大限度地满足招标文件中规定的各项综合评价标准;
Ø能够满足招标文件的实质性要求,并且经评审的投标价格最低;但是投标价格低于成本的除外。少数软件工程项目的投资方为了保证项目的质量,采用的是价格按所有投标方报价的算术平均值作为最高分的,必须按招标文件中明确的评分标准计算。
3. 中标
中标人确定后,招标人应当向中标人发出中标通知书,并同时将中标结果通知所有未中标的投标人。
中标通知书对招标人和中标人具有同等法律效力。
中标通知书发出后,招标人改变中标结果的,或者中标人放弃中标项目的,应当依法承担法律责任。
招投标的程序
法律责任
Ø投标人相互串通投标或者与招标人串通投标的,投标人以向招标人或者评标委员会成员行贿的手段谋取中标的,中标无效,并处以中标项目金额千分之五以上千分之十以下的罚款,对单位直接负责的主管人员和其他直接责任人员处以单位罚款数额百分之五以上百分之十以下的罚款
Ø投标人以他人名义投标或者以其他方式弄虚作假,骗取中标的,中标无效,给招标人造成损失的,依法承担赔偿责任;构成犯罪的,依法追究刑事责任。
软件工程项目投标文件案例
软件工程项目投标文件的内容包括两大部分。
第一部分是投标人相关材料,包括从事软件工程项目的研究经历(合同书、鉴定、评审意见书、获奖证明、市场销售量、相关部门的效益评价书等);技术水平(通信系统、计算机软硬分析设计、测试人才数量、主要技术人员的职称证明文件、从事相关项目研究经历等),信息资源拥有量,资金与财务状况的银行、会计、审计部门证明文件,企业管理人员简历以及履约能力证明文件等。
第二部分是软件工程项目的技术设计文件。
欢迎关注公众号:愚生浅末